Характерным элементом парного катания являются спирали. Парные спирали могут выполняться с одинаковым положением тел партнеров и с разными. Особой группой парных спиралей являются обводки и тодесы. Сложное движение в спирали типа тодес может быть разделено на составные части — периоды и фазы. Начальным периодом тодеса является разбег, состоящий из фазы приобретения скорости и фазы подготовки к скольжению. Затем следуют периоды вхождения в тодес, скольжения, выхода из тодеса. На рис. 47 приведена хронограмма выполнения тодеса вперед-внутрь.
 |
| Рис. 47. Хронограмма выполнения тодеса вперед-внутрь. |
 |
| Рис. 48. Силы, действующие на партнеров при выполнении тодеса |
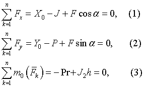
Рассмотрим возникающее при этом взаимодействие тел. Какие силы действуют между льдом и коньками партнеров, а также между их телами? Как зависят величины сил от параметров тодеса: его скорости, размеров и веса тел партнеров, расположения звеньев тела? На рис. 48 схематически изображено положение тел партнеров при выполнении тодеса. Воспользуемся принципом кинетостатики и составим уравнекие равновесия в плоскости хОу для каждого из партнеров. При этом пренебрежем центробежной силой инерции, действующей на тело партнера ввиду ее относительно небольшой величины. Тогда уравнения равновесия партнерши при наличии активных сил, реакций связей и сил инерции примут вид:
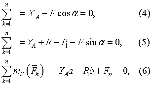
Уравнения равновесия партнера имеют вид:
Проанализируем соотношения, вытекающие из каждого уравнения равновесия, по уравнению (1):
Это означает, что горизонтальная составляющая реакции опоры конька партнеров равна силе инерции минус проекция силы тяги на поверхность льда.
Перепишем уравнение в другом виде:
Основным условием качественного выполнения тодеса является наличие силы тяги. Чем больше сила тяги, тем лучше условия для выполнения тодеса. Из выражения (8) видно: для того чтобы увеличить силу тяги, нужно стремиться увеличить силу инерции и уменьшить горизонтальную составляющую опорной реакции конька партнерши.
Величина центробежной силы инерции где: m - масса тела партнерши; -угловая скорость вращения в тодесе; — радиус кривизны, равный R + а
Таким образом, для увеличения силы инерции J необходимо увеличивать угловую скорость в тодесе и радиус кривизны , т. е. расстояние между партнером и партнершей. С величиной угловой скорости вращения в тодесе тесно связана сила трения конька партнерши о лед, действующая в плоскости, перпендикулярной к плоскости хОу и поэтому не вошедшая в уравнения равновесия. Силу трения необходимо уменьшать до минимума чистым скольжением на ребре конька? без касания зубцами.
Мы уже говорили, то сила тяги увеличивается с уменьшением горизонтальной составляющей опорной реакции конька партнерши. Каким образом можно изменять величину этой составляющей? Величину Хо в некоторых пределах можно изменять, регулируя направление скольжения опорного конька партнерши. Когда фигуристы стремятся увеличить радиус скольжения, т. е. когда конек партнерши «отъезжает» от центра тодеса, Хо уменьшается, когда конек «подъезжает» к центру тедеса, т. е. радиус скольжения конька уменьшается, Xo возрастает.
Рассмотрим взаимодействие сил, действующих на тело партнерши в вертикальной плоскости, из уравнения (2):
Для правильного понимания этого соотношения следует учесть, что качество тодеса тем лучше, чем меньше вертикальная составляющая силы тяги. Теоретически идеальный в этом отношении тодес будет выполнен при а = 0, т. е. когда тело партнерши точно горизонтально. В этом случае т. е. вертикальная составляющая силы тяги отсутствует и становится равной весу тела партнерши. Практически этого достичь нельзя, но в любом случае следует стремиться к возможно меньшему значению угла а, т. е. к возможно более горизонтальному положению тела партнерши.
Уточняя сказанное, при рассмотрении сил, действующих на тело партнерши в горизонтальной плоскости, отметим важную деталь: качество тодеса зависит от величины горизонтальной составляющей силы тяги, а не от полной величины силы тяги. Увеличение вертикальной составляющей силы тяги-явление нежелательное, ухудшающее качество выполнения тодесов.
Уравнение моментов, действующих на партнершу дает нам следующее соотношение:
Анализ последнего выражения приводит нас к выводу аналогично полученному ранее, о том, что для увеличения силы инерции следует уменьшать величину h, что равносильно уменьшению угла a.
Рассмотрение сил, действующих на тело партнера в горизонтальной плоскости, дает выражение:
Откуда следует, что увеличение силы тяги F связано с увеличением горизонтальной составляющей опорной реакции конька партнера, скользящего на ребре. В выражение не входит горизонтальная составляющая опорной реакции конька, стоящего на зубце. Этой величиной мы пренебрегаем, ввиду того что при качественном выполнении тодеса сопротивление горизонтальным усилиям осуществляется ногой, конек которой скользит на ребре. Конек, стоящий на зубце, играет лишь роль центра вращения и не испытывает сколько-нибудь значительных горизонтальных усилий. Мастера высокого класса способны выполнять тодес не касаясь льда зубцом конька, а лишь опираясь на лед коленом, что подтверждает отсутствие существенных горизонтальных усилий в месте постановки зубца на лед.
Рассмотрение сил, действующих на тело партнера в вертикальной плоскости, приводит к соотношению:
откуда видно, что теоретически в идеальном случае (когда угол наклона тела партнерши равен нулю) сила веса партнера полностью уравновешивается вертикальными составляющими реакций опоры обоих коньков партнера, а вертикальная составляющая силы тяги Fотсутствует. Стремление к возможно более пологому положению тела партнерши можно наблюдать на рис. 49 (положения 6 и 7).
Уравнение моментов для тела партнера дает следующее выражение:
Учитывая, что величина YА относительно невелика, основную роль в уравновешивании момента силы играет момент силы веса. Стремление к выполнению более качественного тодеса с высоким значением силы тяги обусловливает необходимость увеличения момента силы тяжести тела партнера. Этот момент может быть увеличен увеличением плеча силы тяжести — расстояния в, что отчетливо наблюдается у мастеров высокого класса. Посадка партнера в этом случае отличается значительным отклонением спины назад.
Рассмотрим выражение для силы тяги:
где F-сила тяги; Р -вес партнерши; — угловая скорость вращения в тодесе; —угол наклона продольной оси тела партнерши;g - ускорение свободного падения; — расстояние между осью вращения партнера и о. ц. т. тела партнерши. Анализ выражения для силы тяги F позволяет сделать вывод о весьма значительном влиянии величины угловой скорости вращения на величину силы тяги, так как величина угловой скорости входит в выражение для F- во второй степени. Величина угловой скорости в основном зависит от двух параметров: скорости разбега партнеров перед тодесом и качества скольжения конька партнерами на льду. Значительное скобление зубцом или ребром гасит угловую скорость вращения и при величине меньшей 0,25 об/с делает качественное выполнение тодеса невозможным ввиду чрезмерного уменьшения силы тяги.
 |
| Рис. 49. Тодес вперед-внутрь |
Для совершенствования ключевых параметров выполнения тодесов, таких, как скорость скольжения, качество скольжения партнера и партнерши, увеличение силы тяги, могут быть рекомендованы подготовительные упражнения, заключающиеся в выполнении тодеса на полу с использованием роликового конька. На первом этапе партнер держит партнершу двумя руками сначала за обе руки, затем за одну. В дальнейшем выполнение приближается к реальному.
Для отработки движений партнера (овладение устойчивым циркулем в низком приседе) рационально применить предложенный автором прием: выполнение тодеса с грузом 5—10 кг и более, привязанным к веревке длиной 1—1,5 м (рис. 50).
 |
| Рис. 50. Совершенствование движений партера в тодесе с помощью груза |
Это упражнение позволяет очень быстро овладеть правильной позой, развить специфические физические качества: силу и гибкость групп мышц, участвующих в работе в положении циркуля. Использование упражнения позволяет в значительной степени избежать срывов и травм, возникающих из-за несовершенства действий партнера.
|